快手广告迈入生成式推荐时代!GR4AD:Token到Re

互联网资讯
本条新闻为单纯事实消息的时事新闻,转载自机器之心Pro,版权归源站所有,如有侵权,烦请联系我们



机器之心发布

当推荐系统遇上大模型范式,广告变现的天花板被再次打破。快手提出 GR4AD,作为国内生成式推荐在大规模广告场景下的首次全量落地,实现广告收入提升 4.2%,服务 4 亿 + 用户。



论文链接:https://arxiv.org/pdf/2602.22732

一、引言:"推荐该怎么做" 的新范式

过去十年,深度学习推荐模型(DLRM)几乎统治了整个工业界的推荐系统 —— 从召回到排序,从特征交叉到序列建模,它们构建了一套成熟而稳固的技术栈。然而,当大语言模型(LLM)的浪潮席卷而来,一个大胆的问题被抛了出来:

能不能像生成文本一样,直接 "生成" 推荐结果?

这就是生成式推荐(Generative Recommendation)的核心思想。以 TIGER、OneRec 为代表的一系列工作,已经在自然推荐场景中验证了这一范式的可行性。但当战场转移到大规模广告系统—— 这个对时延、收益、商业价值都有极致要求的领域 —— 事情变得远没有那么直接。

快手的这篇论文,正是对这一问题交出的一份沉甸甸的工业级答卷。他们提出了GR4AD(Generative Recommendation for ADvertising),一个横跨表征、学习、服务三大层面协同设计的生成式广告推荐系统,并已全量部署于快手广告平台,服务超过 4 亿用户

二、问题与挑战:广告场景下的三大挑战

论文开篇就旗帜鲜明地指出:直接把 LLM 那套训练和推理范式搬到广告推荐上,是行不通的。 具体来说,广告场景存在三个独有的核心挑战:

挑战一:广告物料的 Token 化 —— 多元信息的统一编码

广告不是普通的短视频。一条广告背后融合了视频创意、商品详情、广告主 B 端元数据等多模态、多粒度信息。更棘手的是,平台还提供了转化类型、广告账户等关键业务信号,这些信号具备强烈的商业价值但几乎没有 "语义内容" 可言。如何为广告物料打造一套既能捕获语义内容、又能编码业务信息的统一 Token 体系

挑战二:学习范式 —— 面向商业价值的列表级优化

广告推荐的优化目标不是 "猜中用户会点哪个" 那么简单,而是要在eCPM 排序、NDCG 等列表级指标下最大化商业价值。现有的生成式推荐方法大多沿用 LLM 的分阶段训练方式,不完全适配大规模推荐场景的持续在线学习,且缺乏面向排序的、列表级的学习设计。

挑战三:实时服务 —— 多候选生成的算力困局

不同于 LLM 聊天场景中 "解码一条回复、容忍较长延迟" 的模式,广告系统需要在极高 QPS 和极低延迟(<100ms)下,通过 Beam Search同时生成大量高质量候选。这是一个与 LLM 不同的推理优化问题。

三、方法:全链路协同设计的破局之道

GR4AD 的方法论可以用一句话概括:"表征 - 学习 - 推理" 三位一体的推荐原生设计。 下面逐一拆解。



3.1 统一广告语义 ID(UA-SID):给广告一个 "身份证"

核心思想:用一个端到端微调的多模态大模型(MLLM)为每条广告生成统一嵌入,再通过精心设计的量化方法将其编码为离散 Semantic ID。



第一步:统一广告嵌入(UAE)

  • 指令微调(Instruction Tuning):针对快手广告的 6 种典型形态(直播、商品、达人等),设计了 6 套提示模板,引导 MLLM 从不同视角理解广告内容。比如对直播类广告,引导模型分析主播画像和地域特征;对外部投放广告,则聚焦产品行业和品牌信息。
  • 共现学习(Co-occurrence Learning):用户行为中的共现关系蕴含了丰富的协同信号。论文使用 Swing 方法估计物料共现强度,并采用 InfoNCE 对比学习目标将其注入表征:



第二步:MGMR RQ-Kmeans 量化

这是 UA-SID 的 "杀手锏"。论文提出了多粒度 - 多分辨率(Multi-Granularity-Multi-Resolution)的 RQ-Kmeans 量化策略:

  • 多分辨率(MR):低层级使用更大的码本捕获主导语义因子,高层级用较小码本建模低熵残差,有效提升码本利用率。
  • 多粒度(MG):在最后一层用基于非语义特征的哈希映射替代向量量化 —— 将转化类型、账户 ID 等业务信号直接编码进 SID,一举解决 "相同内容、不同投放策略" 导致的 SID 碰撞问题。

最终每个广告物料被映射为一个离散 UA-SID 序列:



3.2 LazyAR:懒惰解码器的大智慧

生成式推荐在推理时需要通过 Beam Search 生成多个候选 SID 序列。标准自回归解码要求每一层都依赖上一步的输出,这在 Beam 数很大时造成了巨大的计算瓶颈。

论文的一个关键观察是:第一层 SID 最难学、损失最大,但它的 Beam 只有 1(从 BOS 开始);后续层级更容易,Beam 却呈指数级膨胀。 大部分计算被浪费在了 "简单的事情" 上。



LazyAR 的核心操作: 将对上一步 token 的依赖 "延迟" 到中间某一层(第 K 层)注入:

  • 前 K 层(并行层):不依赖上一步 token,仅基于位置编码和上下文 X 进行计算,所有层级和所有 Beam 可以并行计算并共享
  • 后 L-K 层(自回归层):注入上一步 SID 嵌入后进行标准自回归解码。

为什么 LazyAR 有效?

1. 第一层 SID 的解码过程完全不受影响(从 BOS 经过全部 L 层)。

2. 前 K 层在潜空间中进行推理,能编码关于候选 token 的有用信号。

3. 引入 MTP 辅助损失,强制前 K 层即使没有上一步 token 也能学到足够信息。



论文特别指出:这个设计是推荐原生的,不适用于标准 LLM 解码 —— 因为 LLM 解码通常不用 Beam Search,且后续 token 的预测难度不一定下降。

3.3 价值感知的监督学习(VSL)

在广告场景中,不同样本的商业价值天差地别。VSL 围绕 "价值感知" 做了三件事:

SID + eCPM 联合预测: 在标准 SID 交叉熵损失之外,将 eCPM 离散化为桶并追加为额外的预测 token:



价值感知样本加权: 每个样本的权重 ,高广告价值用户和深度交互行为(如购买)获得更高权重。



MTP 辅助损失: 配合 LazyAR,强制前 K 层并行解码的表征质量。

最终 VSL 目标:



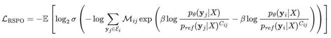
3.4 排序引导的强化学习(RSPO):从 "学分布" 到 "优排序"

VSL 能拟合历史数据分布,但它不直接优化下游排序目标,也不支持对未知标签分布的探索。论文因此引入了 RSPO(Ranking-Guided Softmax Preference Optimization),一个面向列表级 NDCG 优化的 RL 算法

RSPO 的核心 loss





几个精妙的工程设计:



  • VSL 与 RSPO 的统一在线训练:通过样本级对齐分数动态调整两个目标的权重 —— 模型排序与奖励排序偏差大时加重 VSL(学好基础分布),偏差小时加重 RSPO(精细化价值优化)。

四、线上部署:工业级系统的全闭环设计

GR4AD(0.16B 参数)已全量部署于快手广告系统,实现了一套 “奖励估计 → 在线学习 → 实时索引 → 实时服务” 的完整闭环。



4.1 四大核心模块

  • 奖励系统(Reward System):训练独立的 Reward Model 对 GR4AD 生成的候选集进行 eCPM 评分,在放松延迟约束的环境下进行更大 Beam 的探索,为 RL 训练提供高质量信号。
  • 在线学习模块:实时构建 VSL 和 RL 两种训练信号,持续进行 mini-batch 更新,实时推送参数到推理服务。
  • 实时索引模块:用 SID 替代传统嵌入索引。新物料到达时只需计算 UA-SID 并更新双向索引(UA-SID ↔ Item ID),秒级生效,大幅改善冷启动覆盖和时效性。
  • 实时服务引擎:处理用户请求并返回排序广告列表。

4.2 推理效率优化:把算力用在刀刃上

动态 Beam 服务(DBS)是本文的又一亮点,包含两个子机制:

  • 动态 Beam 宽度(DBW):用递增的 Beam 调度(如 128→256→512)替代固定宽度(512→512→512),在不损失最终候选质量的前提下大幅削减中间层计算。
  • 流量感知自适应 Beam 搜索(TABS):根据实时 QPS 自动调整 Beam 规模 ——低峰期加大 Beam 提升推荐质量,高峰期收缩 Beam 保障延迟和吞吐

此外还有一系列工程优化:Beam 共享 KV Cache:将 Beam 从 batch 维度转移至序列维度进行组织,实现 KV Cache 的共享,显著提升内存访问效率(+212.5% QPS)、TopK 预裁剪:先并行选取每个 Beam 的 K 个候选结果,再对聚合候选集进行全局 Top-K 选择,在有效缩减搜索空间的同时保证准确性(+184.8% QPS)、FP8 低精度推理(+50.3% QPS)、短 TTL 结果缓存(+27.8% QPS)。

最终效果:<100ms 延迟,500+ QPS/L20 GPU

五、实验效果:广告收入和推理性能的双赢

5.1 总体性能与消融实验



几个关键发现:

  • RSPO 是所有优化中增益最大的单一组件,显著优于 DPO 和 GRPO,验证了列表级 RL 在广告场景的不可替代性。
  • LazyAR 以极微小的精度代价换来了吞吐量翻倍,是实际部署的关键使能技术,优于 DeepSeek-MTP。
  • DBS 在不损失收益的前提下进一步提升了效率,TABS 机制在低峰期还能反向提升收入。

5.2 Scaling Law



模型规模方向:从 0.03B 到 0.32B,收入提升从 + 2.13% 单调增长到 + 4.43%,训练损失也持续下降。生成式广告推荐的 Scaling Law 是成立的

推理规模方向:Beam 宽度从 128 增加到 1024,收入从 + 2.33% 提升到 + 4.21%。这意味着更强的推理时搜索能进一步释放模型潜力—— 这与当前 LLM 领域 Test-time Scaling 的趋势遥相呼应。

5.3 UA-SID 质量



在嵌入质量评估(photo-to-photo recall)中,经过指令微调和共现学习的 UAE 达到了 R@1=0.896,远超基线 QARM(0.541)和原始 Qwen3-VL-7B(0.769)。MGMR 量化将 SID 碰撞率从 85.44% 降至 18.26%,码本利用率提升 3 倍以上。

5.4 商业指标的全面胜利

  • 商业化广告收入4.2%+
  • 中小广告主投放量提升17.5%
  • 广告转化率提升10.17%
  • 低活用户转化率提升7.28%

基于内容的 SID 带来的更强泛化能力和更实时的索引对冷启动物料的更好支持,实现了平台、广告主、用户的三赢

六、总结与思考

GR4AD 这篇论文的价值,不仅在于它达成了 4.2% 的收入提升这个数字,更在于它系统性地回答了一个关键问题:生成式推荐在广告这个最 "硬核" 的工业场景中,到底应该怎么做?

它的答案是:不要照搬 LLM,要做推荐原生的设计

  • Token 化不能只看内容语义,要把业务信号编码进去(UA-SID + MGMR)。
  • 训练不能只做单点概率生成,要做价值感知的列表级优化(VSL + RSPO)。
  • 推理不能只套用 LLM 加速技巧,要针对 "短序列、多候选、Beam Search" 的推荐特性做专门设计(LazyAR + DBS)。
  • 系统不能离线批处理,要做实时索引、在线学习、闭环反馈的全链路打通。

GR4AD 是生成式推荐走向广告工业核心场景的一个重要里程碑。 快手用超过 4 亿用户的真实流量验证了这条路径的可行性。可以预见,接下来会有更多广告平台跟进这一范式。

点赞 0 收藏(0)  分享
0个评论
  • 消灭零评论
本版公告

欢迎访问资讯板块,我们将在本版块为您带来最新最全最热的资讯,包含互联网、科技、数码、电脑、科普、体育、娱乐、国内等新闻。所有新闻都为单纯事实消息的时事新闻,转载均注明了来源,版权归源站所有,如有侵权,烦请联系我们

更多【互联网】资讯...
我的天!豆包每天烧120万亿Tokens啊! 0
“小年”荔枝开卖:头茬价格逼近百元,电商玩出 0
抖音、淘天、小红书被约谈 涉及跨境电商进口“ 0
滴滴清明假期异地打车需求将上涨近40% 0
滴滴AI打车用户增长37倍,00后成主力 0
首次全年盈利,知乎的赚钱逻辑变了 0
快手广告迈入生成式推荐时代!GR4AD:Token到Re 0
涉“优思益”,与辉同行致歉,全额退款!3家平 0
36氪晚报|AI大模型产品“奇趣”完成千万级融资 0
阿里发布编程模型Qwen3.6-Plus 0